The Staff Selection Commission (SSC) has released the Final Result of Constable (Executive) in Delhi Police Examination 2020. The SSC Delhi Police Constable final result 2020 was released on December 15, 2021. Candidates who had qualified the SSC Delhi Police written examination held from November 27 to December 16, 2020, and have passed the Physical Endurance and Measurement Test (PE&MT)/Document Verification can access their SSC Delhi Police Constable Final result 2020 on the official website - ssc.nic.in.

A total of 67740 candidates were shortlisted to appear in the Physical Endurance and Measurement Test (PE&MT)/Document Verification which was conducted by the Delhi Police of which a total of 5,690 candidates have been shortlisted in the SSC Delhi Police Final Results for Constable (Executive) posts.
The Commission has released the SSC Delhi Police Constable final result 2020 in pdf format. One can check their result using the roll number and name as per the admission certificate. Check the pdf link and other details of SSC Delhi Police Constable final result 2020 below.
How To Check SSC Delhi Police Constable Final Result 2020
Step 1: Visit the official website of SSC - ssc.nic.in
Step 2: Go to the Results tab.
Step 3: Click on the link "Constable (Executive) Male and Female in Delhi Police Examination-2020: Declaration of Final Result"
Step 4: SSC Delhi Police Constable final result 2020 pdf will be available for both selected and withheld candidates/cases.
Step 5: Check the result using the roll number and name.
Step 6: Download the SSC Delhi Police Final Results 2020 and keep the hard copy for future
SSC Delhi Police Final Results Link
Delhi Police Final Results Selected Candidates List
SSC Delhi Police Final Results Withheld Cases List
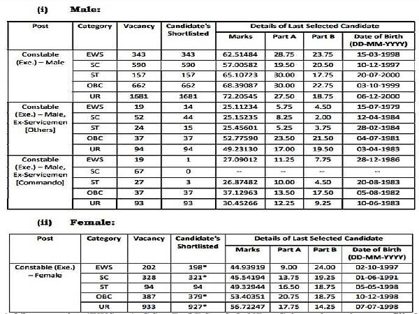
Delhi Police Final Result Cut-Off Marks
Following in the Delhi Police Final Result cut-off marks details of the last selected candidates (male and female) is as follows:

Delhi Police Final Results Shortlisted Vacancy
- Constable (Exe.) Male - 3433
- Constable (Exe.) Female - 1919
- Constable (Exe.) Male - Ex-Servicemen - 204
- Male Ex-Servicemen (Commando) - 134
- Total 5690
SSC Delhi Police Constable Final Result 2020 of 625 candidates has been kept withheld for further scrutiny by the Commission regarding suspected use of unfair means, as per List-II.


Click it and Unblock the Notifications











